Java HashMap详解:源码分析、hash 原理、扩容机制、加载因子、线程不安全
这篇文章将会详细透彻地讲清楚 Java 的 HashMap,包括 hash 方法的原理、HashMap 的扩容机制、HashMap 的加载因子为什么是 0.75 而不是 0.6、0.8,以及 HashMap 为什么是线程不安全的,基本上 HashMap 的常见面试题,都会在这一篇文章里讲明白。
HashMap 是 Java 中常用的数据结构之一,用于存储键值对。在 HashMap 中,每个键都映射到一个唯一的值,可以通过键来快速访问对应的值,算法时间复杂度可以达到 O(1)。
HashMap 不仅在日常开发中经常用到,在面试中也是重点考察的对象。
以下是 HashMap 增删改查的简单例子:
1)增加元素:
将一个键值对(元素)添加到 HashMap 中,可以使用 put() 方法。例如,将名字和年龄作为键值对添加到 HashMap 中:
HashMap<String, Integer> map = new HashMap<>();
map.put("沉默", 20);
map.put("王二", 25);2)删除元素:
从 HashMap 中删除一个键值对,可以使用 remove() 方法。例如,删除名字为 "沉默" 的键值对:
map.remove("沉默");3)修改元素:
修改 HashMap 中的一个键值对,可以使用 put() 方法。例如,将名字为 "沉默" 的年龄修改为 30:
map.put("沉默", 30);为什么和添加元素的方法一样呢?这个我们后面会讲,先简单说一下,是因为 HashMap 的键是唯一的,所以再次 put 的时候会覆盖掉之前的键值对。
4)查找元素:
从 HashMap 中查找一个键对应的值,可以使用 get() 方法。例如,查找名字为 "沉默" 的年龄:
int age = map.get("沉默");在实际应用中,HashMap 可以用于缓存、索引等场景。例如,可以将用户 ID 作为键,用户信息作为值,将用户信息缓存到 HashMap 中,以便快速查找。又如,可以将关键字作为键,文档 ID 列表作为值,将文档索引缓存到 HashMap 中,以便快速搜索文档。
HashMap 的实现原理是基于哈希表的,它的底层是一个数组,数组的每个位置可能是一个链表或红黑树,也可能只是一个键值对(后面会讲)。当添加一个键值对时,HashMap 会根据键的哈希值计算出该键对应的数组下标(索引),然后将键值对插入到对应的位置。
当通过键查找值时,HashMap 也会根据键的哈希值计算出数组下标,并查找对应的值。
01、hash 方法的原理
简单了解 HashMap 后,我们来讨论第一个问题:hash 方法的原理,对吃透 HashMap 会大有帮助。
来看一下 hash 方法的源码(JDK 8 中的 HashMap):
static final int hash(Object key) {
int h;
return (key == null) ? 0 : (h = key.hashCode()) ^ (h >>> 16);
}这段代码究竟是用来干嘛的呢?
将 key 的 hashCode 值进行处理,得到最终的哈希值。
怎么理解这句话呢?不要着急。
我们来 new 一个 HashMap,并通过 put 方法添加一个元素。
HashMap<String, String> map = new HashMap<>();
map.put("chenmo", "沉默");来看一下 put 方法的源码。
public V put(K key, V value) {
return putVal(hash(key), key, value, false, true);
}看到 hash 方法的身影了吧?
hash 方法的作用
前面也说了,HashMap 的底层是通过数组的形式实现的,初始大小是 16(这个后面会讲),先记住。
也就是说,HashMap 在添加第一个元素的时候,需要通过键的哈希码在大小为 16 的数组中确定一个位置(索引),怎么确定呢?
为了方便大家直观的感受,我这里画了一副图,16 个方格子(可以把它想象成一个一个桶),每个格子都有一个编号,对应大小为 16 的数组下标(索引)。

现在,我们要把 key 为 “chenmo”,value 为“沉默”的键值对放到这 16 个格子中的一个。
怎么确定位置(索引)呢?
我先告诉大家结论,通过这个与运算 (n - 1) & hash,其中变量 n 为数组的长度,变量 hash 就是通过 hash() 方法计算后的结果。
那“chenmo”这个 key 计算后的位置(索引)是多少呢?
答案是 8,也就是说 map.put("chenmo", "沉默") 会把 key 为 “chenmo”,value 为“沉默”的键值对放到下标为 8 的位置上(也就是索引为 8 的桶上)。

这样大家就会对 HashMap 存放键值对(元素)的时候有一个大致的印象。其中的一点是,hash 方法对计算键值对的位置起到了至关重要的作用。
回到 hash 方法:
static final int hash(Object key) {
int h;
return (key == null) ? 0 : (h = key.hashCode()) ^ (h >>> 16);
}下面是对该方法的一些解释:
- 参数 key:需要计算哈希码的键值。
key == null ? 0 : (h = key.hashCode()) ^ (h >>> 16):这是一个三目运算符,如果键值为 null,则哈希码为 0(依旧是说如果键为 null,则存放在第一个位置);否则,通过调用hashCode()方法获取键的哈希码,并将其与右移 16 位的哈希码进行异或运算。^运算符:异或运算符是 Java 中的一种位运算符,它用于将两个数的二进制位进行比较,如果相同则为 0,不同则为 1。h >>> 16:将哈希码向右移动 16 位,相当于将原来的哈希码分成了两个 16 位的部分。- 最终返回的是经过异或运算后得到的哈希码值。
这短短的一行代码,汇聚不少计算机巨佬们的聪明才智。
理论上,哈希值(哈希码)是一个 int 类型,范围从-2147483648 到 2147483648。
前后加起来大概 40 亿的映射空间,只要哈希值映射得比较均匀松散,一般是不会出现哈希碰撞(哈希冲突会降低 HashMap 的效率)。
但问题是一个 40 亿长度的数组,内存是放不下的。HashMap 扩容之前的数组初始大小只有 16,所以这个哈希值是不能直接拿来用的,用之前要和数组的长度做与运算(前文提到的 (n - 1) & hash,有些地方叫取模预算,有些地方叫取余运算),用得到的值来访问数组下标才行。
取模运算 VS 取余运算 VS 与运算
那这里就顺带补充一些取模预算/取余运算和与运算的知识点哈。
取模运算(Modulo Operation)和取余运算(Remainder Operation)从严格意义上来讲,是两种不同的运算方式,它们在计算机中的实现也不同。
在 Java 中,通常使用 % 运算符来表示取余,用 Math.floorMod() 来表示取模。
- 当操作数都是正数的话,取模运算和取余运算的结果是一样的。
- 只有当操作数出现负数的情况,结果才会有所不同。
- 取模运算的商向负无穷靠近;取余运算的商向 0 靠近。这是导致它们两个在处理有负数情况下,结果不同的根本原因。
- 当数组的长度是 2 的 n 次方,或者 n 次幂,或者 n 的整数倍时,取模运算/取余运算可以用位运算来代替,效率更高,毕竟计算机本身只认二进制嘛。
我们通过一个实际的例子来看一下。
int a = -7;
int b = 3;
// a 对 b 取余
int remainder = a % b;
// a 对 b 取模
int modulus = Math.floorMod(a, b);
System.out.println("数字: a = " + a + ", b = " + b);
System.out.println("取余 (%): " + remainder);
System.out.println("取模 (Math.floorMod): " + modulus);
// 改变 a 和 b 的正负情况
a = 7;
b = -3;
remainder = a % b;
modulus = Math.floorMod(a, b);
System.out.println("\n数字: a = " + a + ", b = " + b);
System.out.println("取余 (%): " + remainder);
System.out.println("取模 (Math.floorMod): " + modulus);输出结果如下所示:
数字: a = -7, b = 3
取余 (%): -1
取模 (Math.floorMod): 2
数字: a = 7, b = -3
取余 (%): 1
取模 (Math.floorMod): -2为什么会有这样的结果呢?
首先,我们来考虑一下常规除法。当我们将一个数除以另一个数时,我们将得到一个商和一个余数。
例如,当我们把 7 除以 3 时,我们得到商 2 和余数 1,因为 (7 = 3 × 2 + 1)。
推荐阅读:Java 取模和取余
01、取余:
余数的定义是基于常规除法的,所以它的符号总是与被除数相同。商趋向于 0。
例如,对于 -7 % 3,余数是 -1。因为 -7 / 3 可以有两种结果,一种是商 -2 余 -1;一种是商 -3 余 2,对吧?
因为取余的商趋向于 0,-2 比 -3 更接近于 0,所以取余的结果是 -1。
02、取模:
取模也是基于除法的,只不过它的符号总是与除数相同。商趋向于负无穷。
例如,对于 Math.floorMod(-7, 3),结果是 2。同理,因为 -7 / 3 可以有两种结果,一种是商 -2 余 -1;一种是商 -3 余 2,对吧?
因为取模的商趋向于负无穷,-3 比 -2 更接近于负无穷,所以取模的结果是 2。
需要注意的是,不管是取模还是取余,除数都不能为 0,因为取模和取余都是基于除法运算的。
03、与运算:
当除数和被除数都是正数的情况下,取模运算和取余运算的结果是一样的。
比如说,7 对 3 取余,和 7 对 3 取模,结果都是 1。因为两者都是基于除法运算的,7 / 3 的商是 2,余数是 1。
于是,我们会在很多地方看到,取余就是取模,取模就是取余。这是一种不准确的说法,基于操作数都是正数的情况下。
对于 HashMap 来说,它需要通过 hash % table.length 来确定元素在数组中的位置,这种做法可以在很大程度上让元素均匀的分布在数组中。
比如说,数组长度是 3,hash 是 7,那么 7 % 3 的结果就是 1,也就是此时可以把元素放在下标为 1 的位置。
当 hash 是 8,8 % 3 的结果就是 2,也就是可以把元素放在下标为 2 的位置。
当 hash 是 9,9 % 3 的结果就是 0,也就是可以把元素放在下标为 0 的位置上。
是不是很奇妙,数组的大小为 3,刚好 3 个位置都利用上了。
那为什么 HashMap 在计算下标的时候,并没有直接使用取余运算(或者取模运算),而是直接使用位与运算 & 呢?
因为当数组的长度是 2 的 n 次方时,hash & (length - 1) = hash % length。
比如说 9 % 4 = 1,9 的二进制是 1001,4 - 1 = 3,3 的二进制是 0011,9 & 3 = 1001 & 0011 = 0001 = 1。
再比如说 10 % 4 = 2,10 的二进制是 1010,4 - 1 = 3,3 的二进制是 0011,10 & 3 = 1010 & 0011 = 0010 = 2。
当数组的长度不是 2 的 n 次方时,hash % length 和 hash & (length - 1) 的结果就不一致了。
比如说 7 % 3 = 1,7 的二进制是 0111,3 - 1 = 2,2 的二进制是 0010,7 & 2 = 0111 & 0010 = 0010 = 2。
那为什么呢?
因为从二进制角度来看,hash / length = hash /
而被移调的部分,则是 hash %
hash % length的操作是求 hash 除以
因为在
比如说 26 的二进制是 11010,要计算 26 % 8,8 是
010 对应于十进制中的 2,26 % 8 的结果是 2。
当执行hash & (length - 1)时,实际上是保留 hash 二进制表示的最低 n 位,其他高位都被清零。
& 与运算:两个操作数中位都为 1,结果才为 1,否则结果为 0。
举个例子,hash 为 14,n 为 3,也就是数组长度为
1110 (hash = 14)
& 0111 (length - 1 = 7)
----
0110 (结果 = 6)保留 14 的最低 3 位,高位被清零。
从此,两个运算 hash % length 和 hash & (length - 1) 有了完美的闭环。在计算机中,位运算的速度要远高于取余运算,因为计算机本质上就是二进制嘛。
HashMap 的取模运算有两处。
一处是往 HashMap 中 put 的时候(会调用私有的 putVal 方法):
final V putVal(int hash, K key, V value, boolean onlyIfAbsent, boolean evict) {
// 数组
HashMap.Node<K,V>[] tab;
// 元素
HashMap.Node<K,V> p;
// n 为数组的长度 i 为下标
int n, i;
// 数组为空的时候
if ((tab = table) == null || (n = tab.length) == 0)
// 第一次扩容后的数组长度
n = (tab = resize()).length;
// 计算节点的插入位置,如果该位置为空,则新建一个节点插入
if ((p = tab[i = (n - 1) & hash]) == null)
tab[i] = newNode(hash, key, value, null);
}其中 (n - 1) & hash 为取模运算,为什么没用 %,我们随后解释。
一处是从 HashMap 中 get 的时候(会调用 getNode 方法):
final Node<K,V> getNode(int hash, Object key) {
// 获取当前的数组和长度,以及当前节点链表的第一个节点(根据索引直接从数组中找)
Node<K,V>[] tab;
Node<K,V> first, e;
int n;
K k;
if ((tab = table) != null && (n = tab.length) > 0 &&
(first = tab[(n - 1) & hash]) != null) {
// 如果第一个节点就是要查找的节点,则直接返回
if (first.hash == hash && ((k = first.key) == key || (key != null && key.equals(k))))
return first;
// 如果第一个节点不是要查找的节点,则遍历节点链表查找
if ((e = first.next) != null) {
do {
if (e.hash == hash && ((k = e.key) == key || (key != null && key.equals(k))))
return e;
} while ((e = e.next) != null);
}
}
// 如果节点链表中没有找到对应的节点,则返回 null
return null;
}看到没,取模运算 (n - 1) & hash 再次出现,说简单点,就是把键的哈希码经过 hash() 方法计算后,再和(数组长度-1)做了一个“与”运算。
取模运算%和位运算&
可能大家在疑惑:取模运算难道不该用 % 吗?为什么要用位运算 & 呢?
这是因为 & 运算比 % 更加高效,并且当 b 为 2 的 n 次方时,存在下面这样一个公式。
a % b = a & (b-1)
用
a %
= a & ( -1)
我们来验证一下,假如 a = 14,b = 8,也就是
14%8(余数为 6)。
14 的二进制为 1110,8 的二进制 1000,8-1 = 7,7 的二进制为 0111,1110&0111=0110,也就是 0****
害,计算机就是这么讲道理,没办法,😝
这也正好解释了为什么 HashMap 的数组长度要取 2 的整次方。
为什么会这样巧呢?
因为(数组长度-1)正好相当于一个“低位掩码”——这个掩码的低位最好全是 1,这样 & 操作才有意义,否则结果就肯定是 0。
a&b 操作的结果是:a、b 中对应位同时为 1,则对应结果位为 1,否则为 0。例如 5&3=1,5 的二进制是 0101,3 的二进制是 0011,5&3=0001=1。
2 的整次幂刚好是偶数,偶数-1 是奇数,奇数的二进制最后一位是 1,保证了 hash &(length-1) 的最后一位可能为 0,也可能为 1(取决于 hash 的值),即 & 运算后的结果可能为偶数,也可能为奇数,这样便可以保证哈希值的均匀分布。
换句话说,& 操作的结果就是将哈希值的高位全部归零,只保留低位值。
假设某哈希值的二进制为 10100101 11000100 00100101,用它来做 & 运算,我们来看一下结果。
我们知道,HashMap 的初始长度为 16,16-1=15,二进制是 00000000 00000000 00001111(高位用 0 来补齐):
10100101 11000100 00100101
& 00000000 00000000 00001111
----------------------------------
00000000 00000000 00000101因为 15 的高位全部是 0,所以 & 运算后的高位结果肯定也是 0,只剩下 4 个低位 0101,也就是十进制的 5。
这样,哈希值为 10100101 11000100 00100101 的键就会放在数组的第 5 个位置上。
当然了,如果你是新手,上面这些 01 串看不太懂,也没关系。记住 &运算是为了计算数组的下标就可以了。
- put 的时候计算下标,把键值对放到对应的桶上。
- get 的时候通过下标,把键值对从对应的桶上取出来。
为什么取模运算之前要调用 hash 方法呢?
看下面这个图。

某哈希值为 11111111 11111111 11110000 1110 1010,将它右移 16 位(h >>> 16),刚好是 00000000 00000000 11111111 11111111,再进行异或操作(h ^ (h >>> 16)),结果是 11111111 11111111 00001111 00010101
异或(
^)运算是基于二进制的位运算,采用符号 XOR 或者^来表示,运算规则是:如果是同值取 0、异值取 1
由于混合了原来哈希值的高位和低位,所以低位的随机性加大了(掺杂了部分高位的特征,高位的信息也得到了保留)。
结果再与数组长度-1(00000000 00000000 00000000 00001111)做取模运算,得到的下标就是 00000000 00000000 00000000 00000101,也就是 5。
还记得之前我们假设的某哈希值 10100101 11000100 00100101 吗?在没有调用 hash 方法之前,与 15 做取模运算后的结果也是 5,我们不妨来看看调用 hash 之后的取模运算结果是多少。
某哈希值 00000000 10100101 11000100 00100101(补齐 32 位),将它右移 16 位(h >>> 16),刚好是 00000000 00000000 00000000 10100101,再进行异或操作(h ^ (h >>> 16)),结果是 00000000 10100101 00111011 10000000
结果再与数组长度-1(00000000 00000000 00000000 00001111)做取模运算,得到的下标就是 00000000 00000000 00000000 00000000,也就是 0。
综上所述,hash 方法是用来做哈希值优化的,把哈希值右移 16 位,也就正好是自己长度的一半,之后与原哈希值做异或运算,这样就混合了原哈希值中的高位和低位,增大了随机性。
说白了,hash 方法就是为了增加随机性,让数据元素更加均衡的分布,减少碰撞。
我这里写了一段测试代码,假如 HashMap 的容量就是第一次扩容时候的 16,我在里面放了五个键值对,来看一下键的 hash 值(经过 hash() 方法计算后的哈希码)和索引(取模运算后)
HashMap<String, String> map = new HashMap<>();
map.put("chenmo", "沉默");
map.put("wanger", "王二");
map.put("chenqingyang", "陈清扬");
map.put("xiaozhuanling", "小转铃");
map.put("fangxiaowan", "方小婉");
// 遍历 HashMap
for (String key : map.keySet()) {
int h, n = 16;
int hash = (key == null) ? 0 : (h = key.hashCode()) ^ (h >>> 16);
int i = (n - 1) & hash;
// 打印 key 的 hash 值 和 索引 i
System.out.println(key + "的hash值 : " + hash +" 的索引 : " + i);
}输出结果如下所示:
xiaozhuanling的hash值 : 14597045 的索引 : 5
fangxiaowan的hash值 : -392727066 的索引 : 6
chenmo的hash值 : -1361556696 的索引 : 8
chenqingyang的hash值 : -613818743 的索引 : 9
wanger的hash值 : -795084437 的索引 : 11也就是说,此时还没有发生哈希冲突,索引值都是比较均匀分布的,5、6、8、9、11,这其中的很大一部分功劳,就来自于 hash 方法。
小结
hash 方法的主要作用是将 key 的 hashCode 值进行处理,得到最终的哈希值。由于 key 的 hashCode 值是不确定的,可能会出现哈希冲突,因此需要将哈希值通过一定的算法映射到 HashMap 的实际存储位置上。
hash 方法的原理是,先获取 key 对象的 hashCode 值,然后将其高位与低位进行异或操作,得到一个新的哈希值。为什么要进行异或操作呢?因为对于 hashCode 的高位和低位,它们的分布是比较均匀的,如果只是简单地将它们加起来或者进行位运算,容易出现哈希冲突,而异或操作可以避免这个问题。
然后将新的哈希值取模(mod),得到一个实际的存储位置。这个取模操作的目的是将哈希值映射到桶(Bucket)的索引上,桶是 HashMap 中的一个数组,每个桶中会存储着一个链表(或者红黑树),装载哈希值相同的键值对(没有相同哈希值的话就只存储一个键值对)。
总的来说,HashMap 的 hash 方法就是将 key 对象的 hashCode 值进行处理,得到最终的哈希值,并通过一定的算法映射到实际的存储位置上。这个过程决定了 HashMap 内部键值对的查找效率。
02、HashMap 的扩容机制
好,理解了 hash 方法后我们来看第二个问题,HashMap 的扩容机制。
大家都知道,数组一旦初始化后大小就无法改变了,所以就有了 ArrayList这种“动态数组”,可以自动扩容。
HashMap 的底层用的也是数组。向 HashMap 里不停地添加元素,当数组无法装载更多元素时,就需要对数组进行扩容,以便装入更多的元素;除此之外,容量的提升也会相应地提高查询效率,因为“桶(坑)”更多了嘛,原来需要通过链表存储的(查询的时候需要遍历),扩容后可能就有自己专属的“坑位”了(直接就能查出来)。
来看这个例子,容量我们定位 16:
HashMap<String, String> map = new HashMap<>();
map.put("chenmo", "沉默");
map.put("wanger", "王二");
map.put("chenqingyang", "陈清扬");
map.put("xiaozhuanling", "小转铃");
map.put("fangxiaowan", "方小婉");
map.put("yexin", "叶辛");
map.put("liuting","刘婷");
map.put("yaoxiaojuan","姚小娟");
// 遍历 HashMap
for (String key : map.keySet()) {
int h, n = 16;
int hash = (key == null) ? 0 : (h = key.hashCode()) ^ (h >>> 16);
int i = (n - 1) & hash;
// 打印 key 的 hash 值 和 索引 i
System.out.println(key + "的hash值 : " + hash +" 的索引 : " + i);
}来看输出结果:
liuting的hash值 : 183821170 的索引 : 2
xiaozhuanling的hash值 : 14597045 的索引 : 5
fangxiaowan的hash值 : -392727066 的索引 : 6
yaoxiaojuan的hash值 : 1231568918 的索引 : 6
chenmo的hash值 : -1361556696 的索引 : 8
chenqingyang的hash值 : -613818743 的索引 : 9
yexin的hash值 : 114873289 的索引 : 9
wanger的hash值 : -795084437 的索引 : 11看到没?
- fangxiaowan(方小婉)和 yaoxiaojuan(姚小娟)的索引都是 6;
- chenqingyang(陈清扬)和 yexin(叶辛)的索引都是 9
这就意味着,要采用拉链法(后面会讲)将他们放在同一个索引的链表上。查询的时候,就不能直接通过索引的方式直接拿到(时间复杂度为 O(1)),而要通过遍历的方式(时间复杂度为 O(n))。
那假如把数组的长度由 16 扩容为 32 呢?
将之前示例中的 n 由 16 改为 32 即可得到如下的答案:
liuting的hash值 : 183821170 的索引 : 18
xiaozhuanling的hash值 : 14597045 的索引 : 21
fangxiaowan的hash值 : -392727066 的索引 : 6
yaoxiaojuan的hash值 : 1231568918 的索引 : 22
chenmo的hash值 : -1361556696 的索引 : 8
chenqingyang的hash值 : -613818743 的索引 : 9
yexin的hash值 : 114873289 的索引 : 9
wanger的hash值 : -795084437 的索引 : 11可以看到:
- 虽然 chenqingyang(陈清扬)和 yexin(叶辛)的索引仍然是 9。
- 但 fangxiaowan(方小婉)的索引为 6,yaoxiaojuan(姚小娟)的索引由 6 变为 22,各自都有坑了。
当然了,数组是无法自动扩容的,所以如果要扩容的话,就需要新建一个大的数组,然后把之前小的数组的元素复制过去,并且要重新计算哈希值和重新分配桶(重新散列),这个过程也是挺耗时的。
resize 方法
HashMap 的扩容是通过 resize 方法来实现的,JDK 8 中融入了红黑树(链表长度超过 8 的时候,会将链表转化为红黑树来提高查询效率),对于新手来说,可能比较难理解。
为了减轻大家的学习压力,就还使用 JDK 7 的源码,搞清楚了 JDK 7 的,再看 JDK 8 的就会轻松很多。
来看 Java7 的 resize 方法源码,我加了注释:
// newCapacity为新的容量
void resize(int newCapacity) {
// 小数组,临时过度下
Entry[] oldTable = table;
// 扩容前的容量
int oldCapacity = oldTable.length;
// MAXIMUM_CAPACITY 为最大容量,2 的 30 次方 = 1<<30
if (oldCapacity == MAXIMUM_CAPACITY) {
// 容量调整为 Integer 的最大值 0x7fffffff(十六进制)=2 的 31 次方-1
threshold = Integer.MAX_VALUE;
return;
}
// 初始化一个新的数组(大容量)
Entry[] newTable = new Entry[newCapacity];
// 把小数组的元素转移到大数组中
transfer(newTable, initHashSeedAsNeeded(newCapacity));
// 引用新的大数组
table = newTable;
// 重新计算阈值
threshold = (int)Math.min(newCapacity * loadFactor, MAXIMUM_CAPACITY + 1);
}该方法接收一个新的容量 newCapacity,然后将 HashMap 的容量扩大到 newCapacity。
首先,方法获取当前 HashMap 的旧数组 oldTable 和旧容量 oldCapacity。如果旧容量已经达到 HashMap 支持的最大容量 MAXIMUM_CAPACITY( 2 的 30 次方),就将新的阈值 threshold 调整为 Integer.MAX_VALUE(2 的 31 次方 - 1),这是因为 HashMap 的容量不能超过 MAXIMUM_CAPACITY。
因为 2,147,483,647(Integer.MAX_VALUE) - 1,073,741,824(MAXIMUM_CAPACITY) = 1,073,741,823,刚好相差一倍(HashMap 每次扩容都是之前的一倍)。
接着,方法创建一个新的数组 newTable,并将旧数组 oldTable 中的元素转移到新数组 newTable 中。转移过程是通过调用 transfer 方法来实现的。该方法遍历旧数组中的每个桶,并将每个桶中的键值对重新计算哈希值后,将其插入到新数组对应的桶中。
转移完成后,方法将 HashMap 内部的数组引用 table 指向新数组 newTable,并重新计算阈值 threshold。新的阈值是新容量 newCapacity 乘以负载因子 loadFactor 的结果,但如果计算结果超过了 HashMap 支持的最大容量 MAXIMUM_CAPACITY,则将阈值设置为 MAXIMUM_CAPACITY + 1,这是因为 HashMap 的元素数量不能超过 MAXIMUM_CAPACITY。
新容量 newCapacity
那 newCapacity 是如何计算的呢?
int newCapacity = oldCapacity * 2;
if (newCapacity < 0 || newCapacity >= MAXIMUM_CAPACITY) {
newCapacity = MAXIMUM_CAPACITY;
} else if (newCapacity < DEFAULT_INITIAL_CAPACITY) {
newCapacity = DEFAULT_INITIAL_CAPACITY;
}新容量 newCapacity 被初始化为原容量 oldCapacity 的两倍。然后,如果 newCapacity 超过了 HashMap 的容量限制 MAXIMUM_CAPACITY(2^30),就将 newCapacity 设置为 MAXIMUM_CAPACITY。如果 newCapacity 小于默认初始容量 DEFAULT_INITIAL_CAPACITY(16),就将 newCapacity 设置为 DEFAULT_INITIAL_CAPACITY。这样可以避免新容量太小或太大导致哈希冲突过多或者浪费空间。
Java 8 的时候,newCapacity 的计算方式发生了一些细微的变化。
int newCapacity = oldCapacity << 1;
if (newCapacity >= DEFAULT_INITIAL_CAPACITY && oldCapacity >= DEFAULT_INITIAL_CAPACITY) {
if (newCapacity > MAXIMUM_CAPACITY)
newCapacity = MAXIMUM_CAPACITY;
} else {
if (newCapacity < DEFAULT_INITIAL_CAPACITY)
newCapacity = DEFAULT_INITIAL_CAPACITY;
}注意,oldCapacity * 2 变成了 oldCapacity << 1,出现了左移(<<),这里简单介绍一下:
a=39
b = a << 2十进制 39 用 8 位的二进制来表示,就是 00100111,左移两位后是 10011100(低位用 0 补上),再转成十进制数就是 156。
移位运算通常可以用来代替乘法运算和除法运算。例如,将 0010011(39)左移两位就是 10011100(156),刚好变成了原来的 4 倍。
实际上呢,二进制数左移后会变成原来的 2 倍、4 倍、8 倍,记住这个就好。
transfer 方法
接下来,来说 transfer 方法,该方法用来转移,将旧的小数组元素拷贝到新的大数组中。
void transfer(Entry[] newTable, boolean rehash) {
// 新的容量
int newCapacity = newTable.length;
// 遍历小数组
for (Entry<K,V> e : table) {
while(null != e) {
// 拉链法,相同 key 上的不同值
Entry<K,V> next = e.next;
// 是否需要重新计算 hash
if (rehash) {
e.hash = null == e.key ? 0 : hash(e.key);
}
// 根据大数组的容量,和键的 hash 计算元素在数组中的下标
int i = indexFor(e.hash, newCapacity);
// 同一位置上的新元素被放在链表的头部
e.next = newTable[i];
// 放在新的数组上
newTable[i] = e;
// 链表上的下一个元素
e = next;
}
}
}该方法接受一个新的 Entry 数组 newTable 和一个布尔值 rehash 作为参数,其中 newTable 表示新的哈希表,rehash 表示是否需要重新计算键的哈希值。
在方法中,首先获取新哈希表(数组)的长度 newCapacity,然后遍历旧哈希表中的每个 Entry。对于每个 Entry,使用拉链法将相同 key 值的不同 value 值存储在同一个链表中。如果 rehash 为 true,则需要重新计算键的哈希值,并将新的哈希值存储在 Entry 的 hash 属性中。
接着,根据新哈希表的长度和键的哈希值,计算 Entry 在新数组中的位置 i,然后将该 Entry 添加到新数组的 i 位置上。由于新元素需要被放在链表的头部,因此将新元素的下一个元素设置为当前数组位置上的元素。
最后,遍历完旧哈希表中的所有元素后,转移工作完成,新的哈希表 newTable 已经包含了旧哈希表中的所有元素。
拉链法
注意,e.next = newTable[i],也就是使用了单链表的头插入方式,同一位置上新元素总会被放在链表的头部位置;这样先放在一个索引上的元素最终会被放到链表的尾部,这就会导致在旧数组中同一个链表上的元素,通过重新计算索引位置后,有可能被放到了新数组的不同位置上。
为了解决这个问题,Java 8 做了很大的优化(讲扩容的时候会讲到)。
Java 8 扩容
JDK 8 的扩容源代码:
final Node<K,V>[] resize() {
Node<K,V>[] oldTab = table; // 获取原来的数组 table
int oldCap = (oldTab == null) ? 0 : oldTab.length; // 获取数组长度 oldCap
int oldThr = threshold; // 获取阈值 oldThr
int newCap, newThr = 0;
if (oldCap > 0) { // 如果原来的数组 table 不为空
if (oldCap >= MAXIMUM_CAPACITY) { // 超过最大值就不再扩充了,就只好随你碰撞去吧
threshold = Integer.MAX_VALUE;
return oldTab;
}
else if ((newCap = oldCap << 1) < MAXIMUM_CAPACITY && // 没超过最大值,就扩充为原来的2倍
oldCap >= DEFAULT_INITIAL_CAPACITY)
newThr = oldThr << 1; // double threshold
}
else if (oldThr > 0) // initial capacity was placed in threshold
newCap = oldThr;
else { // zero initial threshold signifies using defaults
newCap = DEFAULT_INITIAL_CAPACITY;
newThr = (int)(DEFAULT_LOAD_FACTOR * DEFAULT_INITIAL_CAPACITY);
}
// 计算新的 resize 上限
if (newThr == 0) {
float ft = (float)newCap * loadFactor;
newThr = (newCap < MAXIMUM_CAPACITY && ft < (float)MAXIMUM_CAPACITY ?
(int)ft : Integer.MAX_VALUE);
}
threshold = newThr; // 将新阈值赋值给成员变量 threshold
@SuppressWarnings({"rawtypes","unchecked"})
Node<K,V>[] newTab = (Node<K,V>[])new Node[newCap]; // 创建新数组 newTab
table = newTab; // 将新数组 newTab 赋值给成员变量 table
if (oldTab != null) { // 如果旧数组 oldTab 不为空
for (int j = 0; j < oldCap; ++j) { // 遍历旧数组的每个元素
Node<K,V> e;
if ((e = oldTab[j]) != null) { // 如果该元素不为空
oldTab[j] = null; // 将旧数组中该位置的元素置为 null,以便垃圾回收
if (e.next == null) // 如果该元素没有冲突
newTab[e.hash & (newCap - 1)] = e; // 直接将该元素放入新数组
else if (e instanceof TreeNode) // 如果该元素是树节点
((TreeNode<K,V>)e).split(this, newTab, j, oldCap); // 将该树节点分裂成两个链表
else { // 如果该元素是链表
Node<K,V> loHead = null, loTail = null; // 低位链表的头结点和尾结点
Node<K,V> hiHead = null, hiTail = null; // 高位链表的头结点和尾结点
Node<K,V> next;
do { // 遍历该链表
next = e.next;
if ((e.hash & oldCap) == 0) { // 如果该元素在低位链表中
if (loTail == null) // 如果低位链表还没有结点
loHead = e; // 将该元素作为低位链表的头结点
else
loTail.next = e; // 如果低位链表已经有结点,将该元素加入低位链表的尾部
loTail = e; // 更新低位链表的尾结点
}
else { // 如果该元素在高位链表中
if (hiTail == null) // 如果高位链表还没有结点
hiHead = e; // 将该元素作为高位链表的头结点
else
hiTail.next = e; // 如果高位链表已经有结点,将该元素加入高位链表的尾部
hiTail = e; // 更新高位链表的尾结点
}
} while ((e = next) != null); //
if (loTail != null) { // 如果低位链表不为空
loTail.next = null; // 将低位链表的尾结点指向 null,以便垃圾回收
newTab[j] = loHead; // 将低位链表作为新数组对应位置的元素
}
if (hiTail != null) { // 如果高位链表不为空
hiTail.next = null; // 将高位链表的尾结点指向 null,以便垃圾回收
newTab[j + oldCap] = hiHead; // 将高位链表作为新数组对应位置的元素
}
}
}
}
}
return newTab; // 返回新数组
}1、获取原来的数组 table、数组长度 oldCap 和阈值 oldThr。
2、如果原来的数组 table 不为空,则根据扩容规则计算新数组长度 newCap 和新阈值 newThr,然后将原数组中的元素复制到新数组中。
3、如果原来的数组 table 为空但阈值 oldThr 不为零,则说明是通过带参数构造方法创建的 HashMap,此时将阈值作为新数组长度 newCap。
4、如果原来的数组 table 和阈值 oldThr 都为零,则说明是通过无参数构造方法创建的 HashMap,此时将默认初始容量 DEFAULT_INITIAL_CAPACITY(16)和默认负载因子 DEFAULT_LOAD_FACTOR(0.75)计算出新数组长度 newCap 和新阈值 newThr。
5、计算新阈值 threshold,并将其赋值给成员变量 threshold。
6、创建新数组 newTab,并将其赋值给成员变量 table。
7、如果旧数组 oldTab 不为空,则遍历旧数组的每个元素,将其复制到新数组中。
8、返回新数组 newTab。
在 JDK 7 中,定位元素位置的代码是这样的:
static int indexFor(int h, int length) {
// assert Integer.bitCount(length) == 1 : "length must be a non-zero power of 2";
return h & (length-1);
}其实就相当于用键的哈希值和数组大小取模,也就是 hashCode % table.length。
那我们来假设:
- 数组 table 的长度为 2
- 键的哈希值为 3、7、5
取模运算后,键发生了哈希冲突,都到 table[1] 上了。那么扩容前就是这个样子。

数组的容量为 2,key 为 3、7、5 的元素在 table[1] 上,需要通过拉链法来解决哈希冲突。
假设负载因子 loadFactor 为 1,也就是当元素的个数大于 table 的长度时进行扩容。
扩容后的数组容量为 4。
- key 3 取模(3%4)后是 3,放在
table[3]上。 - key 7 取模(7%4)后是 3,放在
table[3]上的链表头部。 - key 5 取模(5%4)后是 1,放在
table[1]上。

7 跑到 3 的前面了,因为 JDK 7 使用的是头插法。
e.next = newTable[i];同时,扩容后的 5 跑到了下标为 1 的位置。
最好的情况就是,扩容后的 7 在 3 的后面,5 在 7 的后面,保持原来的顺序。
JDK 8 完全扭转了这个局面,因为 JDK 8 的哈希算法进行了优化,当数组长度为 2 的幂次方时,能够很巧妙地解决 JDK 7 中遇到的问题。
JDK 8 的扩容代码如下所示:
Node<K,V>[] newTab = new Node[newCapacity];
for (int j = 0; j < oldTab.length; j++) {
Node<K,V> e = oldTab[j];
if (e != null) {
int hash = e.hash;
int newIndex = hash & (newCapacity - 1); // 计算在新数组中的位置
// 将节点移动到新数组的对应位置
newTab[newIndex] = e;
}
}新索引的计算方式是 hash & (newCapacity - 1),和 JDK 7 的 h & (length-1)没什么大的差别,差别主要在 hash 方法上,JDK 8 是这样:
static final int hash(Object key) {
int h;
return (key == null) ? 0 : (h = key.hashCode()) ^ (h >>> 16);
}过将键的hashCode()返回的 32 位哈希值与这个哈希值无符号右移 16 位的结果进行异或。
JDK 7 是这样:
final int hash(Object k) {
int h = hashSeed;
if (0 != h && k instanceof String) {
return sun.misc.Hashing.stringHash32((String) k);
}
h ^= k.hashCode();
// This function ensures that hashCodes that differ only by
// constant multiples at each bit position have a bounded
// number of collisions (approximately 8 at default load factor).
h ^= (h >>> 20) ^ (h >>> 12);
return h ^ (h >>> 7) ^ (h >>> 4);
}我们用 JDK 8 的哈希算法来计算一下哈希值,就会发现别有洞天。
假设扩容前的数组长度为 16(n-1 也就是二进制的 0000 1111,1X
- key1 和 n-1 做 & 运算后为 0000 0101,也就是 5;
- key2 和 n-1 做 & 运算后为 0000 0101,也就是 5。
- 此时哈希冲突了,用拉链法来解决哈希冲突。
现在,HashMap 进行了扩容,容量为原来的 2 倍,也就是 32(n-1 也就是二进制的 0001 1111,1X
- key1 和 n-1 做 & 运算后为 0000 0101,也就是 5;
- key2 和 n-1 做 & 运算后为 0001 0101,也就是 21=5+16,也就是数组扩容前的位置+原数组的长度。
神奇吧?

也就是说,在 JDK 8 的新 hash 算法下,数组扩容后的索引位置,要么就是原来的索引位置,要么就是“原索引+原来的容量”,遵循一定的规律。

当然了,这个功劳既属于新的哈希算法,也离不开 n 为 2 的整数次幂这个前提,这是它俩通力合作后的结果 hash & (newCapacity - 1)。
小结
当我们往 HashMap 中不断添加元素时,HashMap 会自动进行扩容操作(条件是元素数量达到负载因子(load factor)乘以数组长度时),以保证其存储的元素数量不会超出其容量限制。
在进行扩容操作时,HashMap 会先将数组的长度扩大一倍,然后将原来的元素重新散列到新的数组中。
由于元素的位置是通过 key 的 hash 和数组长度进行与运算得到的,因此在数组长度扩大后,元素的位置也会发生一些改变。一部分索引不变,另一部分索引为“原索引+旧容量”。
03、加载因子为什么是 0.75
上一个问题提到了加载因子(或者叫负载因子),那么这个问题我们来讨论为什么加载因子是 0.75 而不是 0.6、0.8。
我们知道,HashMap 是用数组+链表/红黑树实现的,我们要想往 HashMap 中添加数据(元素/键值对)或者取数据,就需要确定数据在数组中的下标(索引)。
先把数据的键进行一次 hash:
static final int hash(Object key) {
int h;
return (key == null) ? 0 : (h = key.hashCode()) ^ (h >>> 16);
}再做一次取模运算确定下标:
i = (n - 1) & hash那这样的过程容易产生两个问题:
- 数组的容量过小,经过哈希计算后的下标,容易出现冲突;
- 数组的容量过大,导致空间利用率不高。
加载因子是用来表示 HashMap 中数据的填满程度:
加载因子 = 填入哈希表中的数据个数 / 哈希表的长度
这就意味着:
- 加载因子越小,填满的数据就越少,哈希冲突的几率就减少了,但浪费了空间,而且还会提高扩容的触发几率;
- 加载因子越大,填满的数据就越多,空间利用率就高,但哈希冲突的几率就变大了。
好难!!!!
这就必须在“哈希冲突”与“空间利用率”两者之间有所取舍,尽量保持平衡,谁也不碍着谁。
我们知道,HashMap 是通过拉链法来解决哈希冲突的。
为了减少哈希冲突发生的概率,当 HashMap 的数组长度达到一个临界值的时候,就会触发扩容,扩容后会将之前小数组中的元素转移到大数组中,这是一个相当耗时的操作。
这个临界值由什么来确定呢?
临界值 = 初始容量 * 加载因子
一开始,HashMap 的容量是 16:
static final int DEFAULT_INITIAL_CAPACITY = 1 << 4; // aka 16加载因子是 0.75:
static final float DEFAULT_LOAD_FACTOR = 0.75f;也就是说,当 16*0.75=12 时,会触发扩容机制。
为什么加载因子会选择 0.75 呢?为什么不是 0.8、0.6 呢?
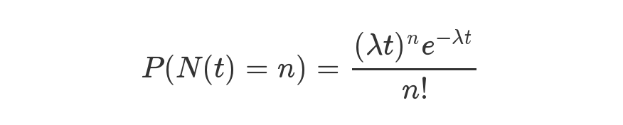
这跟统计学里的一个很重要的原理——泊松分布有关。
是时候上维基百科了:
泊松分布,是一种统计与概率学里常见到的离散概率分布,由法国数学家西莫恩·德尼·泊松在 1838 年时提出。它会对随机事件的发生次数进行建模,适用于涉及计算在给定的时间段、距离、面积等范围内发生随机事件的次数的应用情形。
阮一峰老师曾在一篇博文中详细的介绍了泊松分布和指数分布,大家可以去看一下。
链接:https://www.ruanyifeng.com/blog/2015/06/poisson-distribution.html
具体是用这么一个公式来表示的。

等号的左边,P 表示概率,N 表示某种函数关系,t 表示时间,n 表示数量。
在 HashMap 的 doc 文档里,曾有这么一段描述:
Because TreeNodes are about twice the size of regular nodes, we
use them only when bins contain enough nodes to warrant use
(see TREEIFY_THRESHOLD). And when they become too small (due to
removal or resizing) they are converted back to plain bins. In
usages with well-distributed user hashCodes, tree bins are
rarely used. Ideally, under random hashCodes, the frequency of
nodes in bins follows a Poisson distribution
(http://en.wikipedia.org/wiki/Poisson_distribution) with a
parameter of about 0.5 on average for the default resizing
threshold of 0.75, although with a large variance because of
resizing granularity. Ignoring variance, the expected
occurrences of list size k are (exp(-0.5) * pow(0.5, k) /
factorial(k)). The first values are:
0: 0.60653066
1: 0.30326533
2: 0.07581633
3: 0.01263606
4: 0.00157952
5: 0.00015795
6: 0.00001316
7: 0.00000094
8: 0.00000006
more: less than 1 in ten million为了便于大家的理解,这里来重温一下 HashMap 的拉链法和红黑树结构。
Java 8 之前,HashMap 使用链表来解决冲突,即当两个或者多个键映射到同一个桶时,它们被放在同一个桶的链表上。当链表上的节点(Node)过多时,链表会变得很长,查找的效率(LinkedList 的查找效率为 O(n))就会受到影响。
Java 8 中,当链表的节点数超过一个阈值(8)时,链表将转为红黑树(节点为 TreeNode),红黑树(在讲TreeMap时会细说)是一种高效的平衡树结构,能够在 O(log n) 的时间内完成插入、删除和查找等操作。这种结构在节点数很多时,可以提高 HashMap 的性能和可伸缩性。
好,有了这个背景,我们来把上面的 doc 文档翻译为中文:
因为TreeNode(红黑树的节点)的大小大约是常规节点(链表的节点 Node)的两倍,所以只有当桶内包含足够多的节点时才使用红黑树(参见TREEIFY_THRESHOLD「阈值,值为8」,节点数量较多时,红黑树可以提高查询效率)。
由于删除元素或者调整数组大小(扩容)时(再次散列),红黑树可能会被转换为链表(节点数量小于 8 时),节点数量较少时,链表的效率比红黑树更高,因为红黑树需要更多的内存空间来存储节点。
在具有良好分布的hashCode使用中,很少使用红黑树。
理想情况下,在随机hashCode下,节点在桶中的频率遵循泊松分布(https://zh.wikipedia.org/wiki/卜瓦松分布),平均缩放阈值为0.75,忽略方差,列表大小k的预期出现次数为(exp(-0.5)* pow(0.5,k)/ factorial(k))。
前几个值是:
0: 0.60653066
1: 0.30326533
2: 0.07581633
3: 0.01263606
4: 0.00157952
5: 0.00015795
6: 0.00001316
7: 0.00000094
8: 0.00000006
更多:小于一千万分之一虽然这段话的本意更多的是表示 jdk 8 中为什么拉链长度超过 8 的时候进行了红黑树转换,但提到了 0.75 这个加载因子,但没提到底为什么。
为了搞清楚到底为什么,我看到了这篇文章:
里面提到了一个概念:二项分布(Binomial Distribution)。
在做一件事情的时候,其结果的概率只有 2 种情况,和抛硬币一样,不是正面就是反面。
假如,我们做了 N 次实验,那么在每次试验中只有两种可能的结果,并且每次实验是独立的,不同实验之间互不影响,每次实验成功的概率都是一样的。
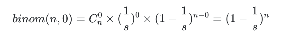
以此理论为基础:我们往哈希表中扔数据,如果发生哈希冲突就为失败,否则为成功。
我们可以设想,实验的 hash 值是随机的,并且经过 hash 运算的键都会映射到 hash 表的地址空间上,那么这个结果也是随机的。所以,每次 put 的时候就相当于我们在扔一个 16 面(HashMap 第一次扩容后的数组默认长度为 16)的骰子,扔骰子实验那肯定是相互独立的。碰撞发生即扔了 n 次有出现重复数字。
然后,我们的目的是啥呢?
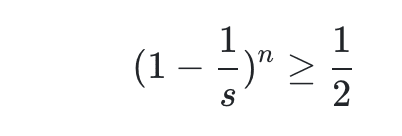
就是掷了 k 次骰子,没有一次是相同的概率,需要尽可能的大些,一般意义上我们肯定要大于 0.5(这个数是个理想数)。
于是,n 次事件里面,碰撞为 0 的概率,由上面公式得:

这个概率值需要大于 0.5,我们认为这样的 hashmap 可以提供很低的碰撞率。所以:

这时候,我们对于该公式其实最想求的时候长度 s 的时候,n 为多少次就应该进行扩容了?而负载因子则是

所以可以得到

其中

这就是一个求 ∞⋅0函数极限问题,这里我们先令

我们再令

所以

考虑到 HashMap 的容量有一个要求:它必须是 2 的 n 次幂。当加载因子选择了 0.75 就可以保证它与容量的乘积为整数。
16*0.75=12
32*0.75=24除了 0.75,0.5~1 之间还有 0.625(5/8)、0.875(7/8)可选,从中位数的角度,挑 0.75 比较完美。另外,维基百科上说,拉链法(解决哈希冲突的一种)的加载因子最好限制在 0.7-0.8 以下,超过 0.8,查表时的 CPU 缓存不命中(cache missing)会按照指数曲线上升。
综上,0.75 是个比较完美的选择。
小结
HashMap 的加载因子(load factor,直译为加载因子,意译为负载因子)是指哈希表中填充元素的个数与桶的数量的比值,当元素个数达到负载因子与桶的数量的乘积时,就需要进行扩容。这个值一般选择 0.75,是因为这个值可以在时间和空间成本之间做到一个折中,使得哈希表的性能达到较好的表现。
如果负载因子过大,填充因子较多,那么哈希表中的元素就会越来越多地聚集在少数的桶中,这就导致了冲突的增加,这些冲突会导致查找、插入和删除操作的效率下降。同时,这也会导致需要更频繁地进行扩容,进一步降低了性能。
如果负载因子过小,那么桶的数量会很多,虽然可以减少冲突,但是在空间利用上面也会有浪费,因此选择 0.75 是为了取得一个平衡点,即在时间和空间成本之间取得一个比较好的平衡点。
总之,选择 0.75 这个值是为了在时间和空间成本之间达到一个较好的平衡点,既可以保证哈希表的性能表现,又能够充分利用空间。
04、线程不安全
其实这个问题也不用说太多,但考虑到面试的时候有些面试官会问,那就简单说一下。
三方面原因:
- 多线程下扩容会死循环
- 多线程下 put 会导致元素丢失
- put 和 get 并发时会导致 get 到 null
1)多线程下扩容会死循环
众所周知,HashMap 是通过拉链法来解决哈希冲突的,也就是当哈希冲突时,会将相同哈希值的键值对通过链表的形式存放起来。
JDK 7 时,采用的是头部插入的方式来存放链表的,也就是下一个冲突的键值对会放在上一个键值对的前面(讲扩容的时候讲过了)。扩容的时候就有可能导致出现环形链表,造成死循环。
resize 方法的源码:
// newCapacity为新的容量
void resize(int newCapacity) {
// 小数组,临时过度下
Entry[] oldTable = table;
// 扩容前的容量
int oldCapacity = oldTable.length;
// MAXIMUM_CAPACITY 为最大容量,2 的 30 次方 = 1<<30
if (oldCapacity == MAXIMUM_CAPACITY) {
// 容量调整为 Integer 的最大值 0x7fffffff(十六进制)=2 的 31 次方-1
threshold = Integer.MAX_VALUE;
return;
}
// 初始化一个新的数组(大容量)
Entry[] newTable = new Entry[newCapacity];
// 把小数组的元素转移到大数组中
transfer(newTable, initHashSeedAsNeeded(newCapacity));
// 引用新的大数组
table = newTable;
// 重新计算阈值
threshold = (int)Math.min(newCapacity * loadFactor, MAXIMUM_CAPACITY + 1);
}transfer 方法用来转移,将小数组的元素拷贝到新的数组中。
void transfer(Entry[] newTable, boolean rehash) {
// 新的容量
int newCapacity = newTable.length;
// 遍历小数组
for (Entry<K,V> e : table) {
while(null != e) {
// 拉链法,相同 key 上的不同值
Entry<K,V> next = e.next;
// 是否需要重新计算 hash
if (rehash) {
e.hash = null == e.key ? 0 : hash(e.key);
}
// 根据大数组的容量,和键的 hash 计算元素在数组中的下标
int i = indexFor(e.hash, newCapacity);
// 同一位置上的新元素被放在链表的头部
e.next = newTable[i];
// 放在新的数组上
newTable[i] = e;
// 链表上的下一个元素
e = next;
}
}
}注意 e.next = newTable[i] 和 newTable[i] = e 这两行代码,它们会将同一位置上的新元素放在链表的头部。
扩容前的样子假如是下面这样子。

那么正常扩容后就是下面这样子。

假设现在有两个线程同时进行扩容,线程 A 在执行到 e.next = newTable[i] 被挂起,此时线程 A 中:e=3、next=7、e.next=null

线程 B 开始执行,并且完成了数据转移。

此时,7 的 next 为 3,3 的 next 为 null。
随后线程 A 获得 CPU 时间片继续执行 e.next = newTable[i];newTable[i] = e,将 3 放入新数组对应的位置,执行完此轮循环后线程 A 的情况如下:

执行下一轮循环,此时 e=7,原本线程 A 中 7 的 next 为 5,但由于 table 是线程 A 和线程 B 共享的,而线程 B 顺利执行完后,7 的 next 变成了 3,那么此时线程 A 中,7 的 next 也为 3 了。
采用头部插入的方式,变成了下面这样子:

好像也没什么问题,此时 next = 3,e = 3。
进行下一轮循环,但此时,由于线程 B 将 3 的 next 变为了 null,所以此轮循环应该是最后一轮了。
接下来当执行完 e.next=newTable[i] 即 3.next=7 后,3 和 7 之间就相互链接了,执行完 newTable[i]=e 后,3 被头插法重新插入到链表中,执行结果如下图所示:

套娃开始,元素 5 也就成了弃婴,惨~~~
这里再插入一名球友小灰飞的分析:“线程A是在8行之后、17行之前挂起”。

不过,JDK 8 时已经修复了这个问题,扩容时会保持链表原来的顺序(嗯,等于说了半天白说了,哈哈,这个面试题确实是这样,很水,但有些面试官又确实比较装逼)。
2)多线程下 put 会导致元素丢失
正常情况下,当发生哈希冲突时,HashMap 是这样的:

但多线程同时执行 put 操作时,如果计算出来的索引位置是相同的,那会造成前一个 key 被后一个 key 覆盖,从而导致元素的丢失。
put 的源码:
final V putVal(int hash, K key, V value, boolean onlyIfAbsent,
boolean evict) {
Node<K,V>[] tab; Node<K,V> p; int n, i;
// 步骤①:tab为空则创建
if ((tab = table) == null || (n = tab.length) == 0)
n = (tab = resize()).length;
// 步骤②:计算index,并对null做处理
if ((p = tab[i = (n - 1) & hash]) == null)
tab[i] = newNode(hash, key, value, null);
else {
Node<K,V> e; K k;
// 步骤③:节点key存在,直接覆盖value
if (p.hash == hash &&
((k = p.key) == key || (key != null && key.equals(k))))
e = p;
// 步骤④:判断该链为红黑树
else if (p instanceof TreeNode)
e = ((TreeNode<K,V>)p).putTreeVal(this, tab, hash, key, value);
// 步骤⑤:该链为链表
else {
for (int binCount = 0; ; ++binCount) {
if ((e = p.next) == null) {
p.next = newNode(hash, key, value, null);
//链表长度大于8转换为红黑树进行处理
if (binCount >= TREEIFY_THRESHOLD - 1) // -1 for 1st
treeifyBin(tab, hash);
break;
}
// key已经存在直接覆盖value
if (e.hash == hash &&
((k = e.key) == key || (key != null && key.equals(k))))
break;
p = e;
}
}
// 步骤⑥、直接覆盖
if (e != null) { // existing mapping for key
V oldValue = e.value;
if (!onlyIfAbsent || oldValue == null)
e.value = value;
afterNodeAccess(e);
return oldValue;
}
}
++modCount;
// 步骤⑦:超过最大容量 就扩容
if (++size > threshold)
resize();
afterNodeInsertion(evict);
return null;
}问题发生在步骤 ② 这里:
if ((p = tab[i = (n - 1) & hash]) == null)
tab[i] = newNode(hash, key, value, null);两个线程都执行了 if 语句,假设线程 A 先执行了 tab[i] = newNode(hash, key, value, null),那 table 是这样的:

接着,线程 B 执行了 tab[i] = newNode(hash, key, value, null),那 table 是这样的:

3 被干掉了。
3)put 和 get 并发时会导致 get 到 null
线程 1 执行 put 时,因为元素个数超出阈值而导致出现扩容,线程 2 此时执行 get,就有可能出现这个问题。

因为线程 1 执行完 table = newTab 之后,线程 2 中的 table 此时也发生了变化,此时去 get 的时候当然会 get 到 null 了,因为元素还没有转移。
参考链接:
4)小结
HashMap 是线程不安全的主要是因为它在进行插入、删除和扩容等操作时可能会导致链表的结构发生变化,从而破坏了 HashMap 的不变性。具体来说,如果在一个线程正在遍历 HashMap 的链表时,另外一个线程对该链表进行了修改(比如添加了一个节点),那么就会导致链表的结构发生变化,从而破坏了当前线程正在进行的遍历操作,可能导致遍历失败或者出现死循环等问题。
为了解决这个问题,Java 提供了线程安全的 HashMap 实现类 ConcurrentHashMap。ConcurrentHashMap 内部采用了分段锁(Segment),将整个 Map 拆分为多个小的 HashMap,每个小的 HashMap 都有自己的锁,不同的线程可以同时访问不同的小 Map,从而实现了线程安全。在进行插入、删除和扩容等操作时,只需要锁住当前小 Map,不会对整个 Map 进行锁定,提高了并发访问的效率。
05、小结
HashMap 是 Java 中最常用的集合之一,它是一种键值对存储的数据结构,可以根据键来快速访问对应的值。以下是对 HashMap 的总结:
- HashMap 采用数组+链表/红黑树的存储结构,能够在 O(1)的时间复杂度内实现元素的添加、删除、查找等操作。
- HashMap 是线程不安全的,因此在多线程环境下需要使用ConcurrentHashMap来保证线程安全。
- HashMap 的扩容机制是通过扩大数组容量和重新计算 hash 值来实现的,扩容时需要重新计算所有元素的 hash 值,因此在元素较多时扩容会影响性能。
- 在 Java 8 中,HashMap 的实现引入了拉链法、树化等机制来优化大量元素存储的情况,进一步提升了性能。
- HashMap 中的 key 是唯一的,如果要存储重复的 key,则后面的值会覆盖前面的值。
- HashMap 的初始容量和加载因子都可以设置,初始容量表示数组的初始大小,加载因子表示数组的填充因子。一般情况下,初始容量为 16,加载因子为 0.75。
- HashMap 在遍历时是无序的,因此如果需要有序遍历,可以使用TreeMap。
综上所述,HashMap 是一种高效的数据结构,具有快速查找和插入元素的能力,但需要注意线程安全和性能问题。
那如果大家已经掌握了 HashMap,那可以刷一下 LeetCode 的第 001 题、013 题,会用到 HashMap、数组和 for 循环,我把题解链接放在了技术派上:
另外,感谢球友踏歌对文章中的排版错误❎进行指正,文章已经进行了修改,感谢球友的支持。
GitHub 上标星 10000+ 的开源知识库《二哥的 Java 进阶之路》第一版 PDF 终于来了!包括 Java 基础语法、数组&字符串、OOP、集合框架、Java IO、异常处理、Java 新特性、网络编程、NIO、并发编程、JVM 等等,共计 32 万余字,500+张手绘图,可以说是通俗易懂、风趣幽默……详情戳:太赞了,GitHub 上标星 7600+ 的 Java 教程
微信搜 沉默王二 或扫描下方二维码关注二哥的原创公众号沉默王二,回复 222 即可免费领取。

